By Lindsay Gibson, Catherine Duquette, and Jacqueline Leighton
In our April 30, 2020 Active History article “Why am I teaching about this? Historical significance in Canadian history” we described a French and English online survey entitled Significant Events in Canadian History/Événements importants de l’histoire du Canada that asked Canadian history teachers in K-12 schools, CEGEP (Québec), or colleges and universities to rate the historical significance of 100 events in the history of Canada using a 1-10 scale and suggest up to five additional events. Participants were also asked to select three factors that most influenced their decisions about which events are most significant, and answer ten demographic questions.
Three research questions guided our study: (1) Which events in Canadian history do teachers rate as most historically significant? (2) What criteria do teachers use to assess the historical significance of historical events, (3) What demographic factors influence teachers’ historical significance ratings?
In this three-part series on the CHA/SHC Teaching | Learning Blog we share the survey results and discuss possible implications for history education. In Part 1, we shared participants’ historical significance ratings of 100 events in Canadian history and in Part 2, we examined the criteria that history teachers selected as most influencing their decisions about which events in Canadian history are most significant. In Part 3 we discuss the demographic factors that influenced participants’ historical significance ratings.
Part 3: Demographic Factors that Influenced Historical Significance Ratings
Demographics
In terms of gender, 52% of the participants identified as female (n=142), 44% identified as male (n=118), and 2% of participants identified as transgender (n=2), genderqueer (n=2), or agender (n=1), and 2% did not answer the question or preferred not to answer the question. Ninety percent of the participants (n=243) identified their ethnicity as White. Given the small number of participants who identified as Indigenous, Black, or people of Colour (IBPOC), and as transgender, cisgender, genderqueer, or agender, we were unable to unable to use ethnicity as a variable in the data analysis and only focused on male and female participants when analyzing how gender impacted participants’ historical significance ratings.
Table 1: Teaching Experience and Current Teaching Assignment

Participants had diverse educational backgrounds in terms of the highest degree obtained and field of specialization. Most of the participants (45%) completed a Bachelor’s degree, 34% had a Master’s degree, and 21% had a Doctorate. In terms of field of specialization, 52% of the participants studied education for their highest degree, 36% history, 5% geography and other social sciences, and 7% other fields.
As is shown in Table 1, teachers from various educational institutions completed the survey. Nearly half the participants teach at secondary schools (45%), 22% teach at college or university, 13% teach in elementary schools, 11% in middle schools, and 9% in other educational institutions including museums, adult education, teacher education, special education, consultants and retired teachers. The teachers who completed the surveys have considerable experience. Most of the teachers (80%) have more than eight years of experience, and 54% have sixteen or more years of teaching experience. Only 7.4% of the participants had three or less years of teaching experience and 12.2% had between four to eight years of experience.
Demographic Factors that Influence Historical Significance Ratings
All demographic factors had influence on teachers’ ratings, however, language, gender, highest degree obtained, and years of experience teaching had the most substantial influence. Figures 1-4 below illustrate the pattern of ratings with error bars by demographic factors. Most importantly, the data suggest that demographic factors have more of an influence on participants’ mean historical significance ratings than the historical significance criteria selected. Each of the factors is discussed in turn.
Figure 1: Language

Language appeared to have the greatest effect on differences in the ratings of events categorized by time-period and theme. The events from time periods rated highest by anglophones (1868-1913 and 1914-1945) were rated lowest by francophones, and events from time periods rated highest by francophones (1534-1763 and 1764-1867) were rated lowest by anglophones. Similarly, the events from themes with the highest significance ratings for francophones (European Contact and Colonization, Military, Political, and Quebec), were rated as the least significant by anglophones, and the themes rated as most significant for anglophones (Indigenous, Migration and Immigration, and Social) were rated as least significant by francophones. This significant interaction is shown in Tables 6 and 7.
Figure 2: Gender

The mean historical significance ratings of females (n=142) and males (n=118) followed a similar pattern as the differences between anglophones and francophones. The thematic events and time periods females rated as most significant were rated as least historically significant by males, and vice versa. Male participants rated events from the 1534-1763 and 1764-1867 time periods as most historically significant, while females rated them as least significant. Conversely, female respondents rated events from the three most recent time periods (1868-1913, 1914-1945, and 1946-2020) as most significant, whereas males rate events from these time periods as least significant.
Similar patterns can be observed in the historical significance ratings for the thematic categories. Events from themes that were given the highest significance ratings for females (Immigration and Migration, Indigenous, and Social) were given the lowest significance ratings for males, and the themes identified as most significant for males (Economic, Military, Political, and Quebec) were the least significant for females.
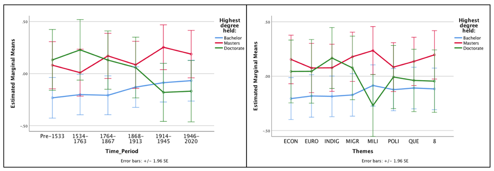
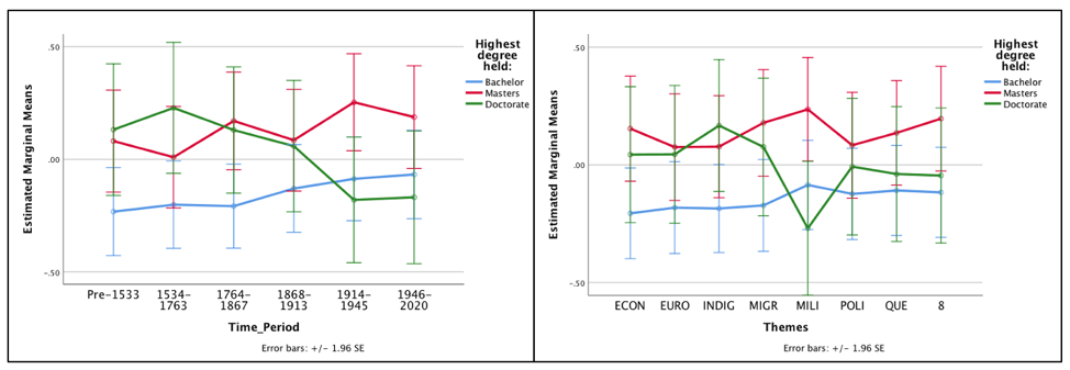
Figure 3: Highest Degree

The highest degree obtained showed a different effect for the rating of time period and themes. For example, participants whose highest degree was a Bachelor’s rated the historical significance of events from all time periods lower than those with Masters or PhDs except events from the 1914-1945 and 1946-2020 time periods. Events from these time periods were rated as more significant by teachers with Bachelor’s degrees than those with PhDs, but lower than teachers with Master’s degrees who rated events from these time periods highest. This interaction of highest degree by time period ratings is shown in the above table. As shown in the table, the thematic ratings suggest a similar interaction with highest degree, however the interaction was not as significant. Nonetheless, there appears to be a general pattern in which participants with Master’s degrees (34%) rated events from almost all the time periods and themes as more significant than those participants with Bachelor’s degrees (45%) and PhDs (21%) except events from the pre-1533 and 1534-1763 time periods and the Indigenous theme, which PhD’s rated as most significant.
Figure 4: Teaching Experience

The general pattern that emerges was that the more experience a teacher had teaching Canadian history, the higher they rated the historical significance of all events in each time period and theme. For example, participants with more than 25 years’ teaching experience (19%) rated events in almost every time period and theme as the most significant followed by teachers with 16-25 years’ experience (36%), and 9-15 years’ experience (26%). The one exception to this overall pattern was the small group of teachers with less than three years’ experience (7%), whose overall significance ratings of events were higher than teachers with four to eight years’ experience (12%) for each time period and theme except the 1914-1945 period and military themed events. Teachers with less than three years’ experience also rated events in the Quebec theme as more significant than any level experience.
Conclusion
Perhaps the most important finding from this research is that demographic factors like language, gender, teaching experience, and educational background appear to have more impact on participants’ historical significance ratings than the intellectual criteria participants identified. In other words, participants’ multi-layered and complex identities, including the language they speak, the gender they identify with, the number of years of teaching experience, and their educational background all appear to have had more influence on their historical significance ratings than the intellectual criteria they selected as most influencing their decisions about an event’s historical significance. This suggests that historical consciousness, which includes an individual’s complex, fluid, and subjective identities, shapes history teachers’ decisions about the historical significance of events in Canadian history more than the criteria they report utilizing. Thus, research focused on teachers’ understanding of historical significance can provide a window to observe the interplay between identity, collective memory, and historical consciousness and their influence on pedagogical practice.